ML & Deep Learning

The Basics of Machine Learning

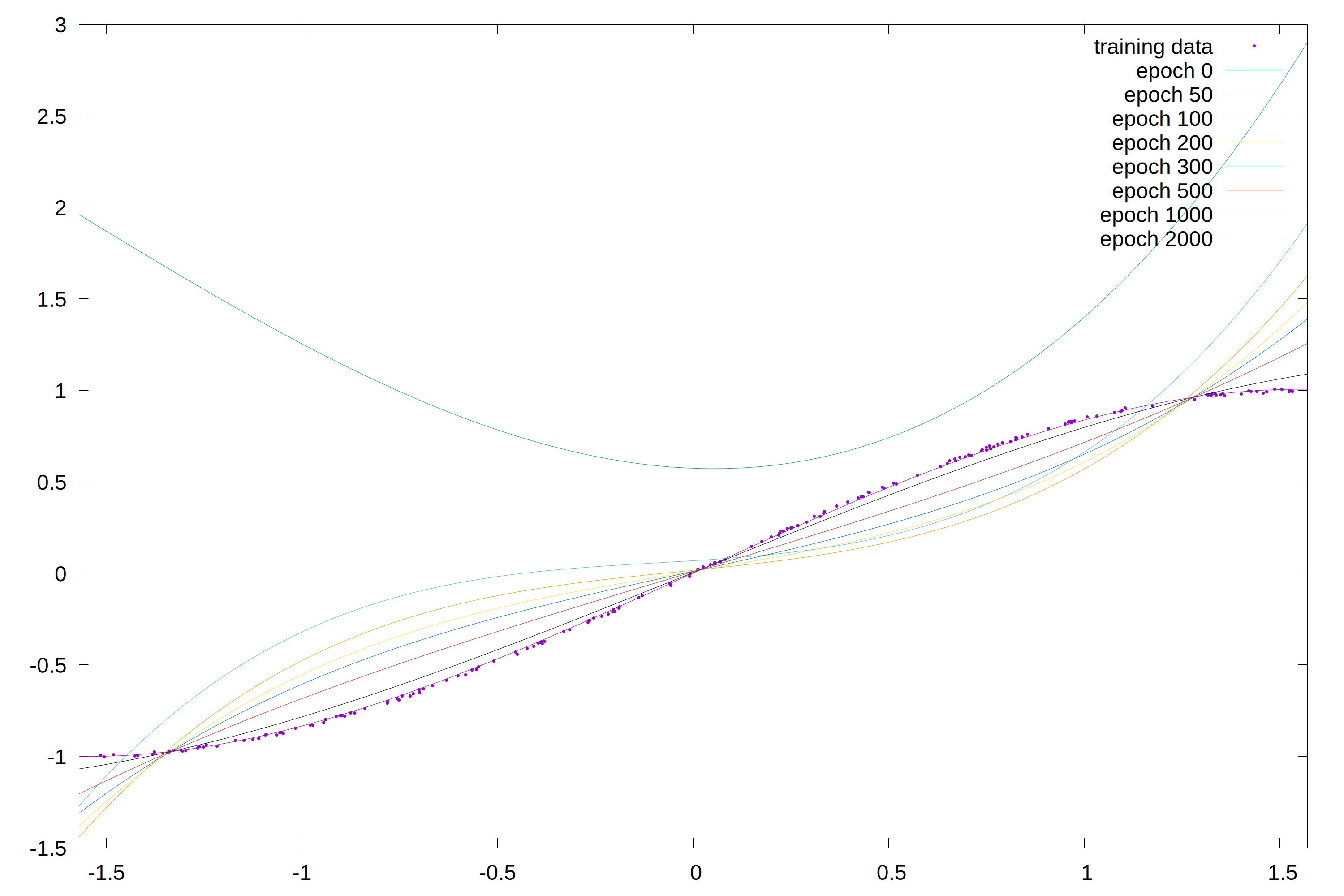
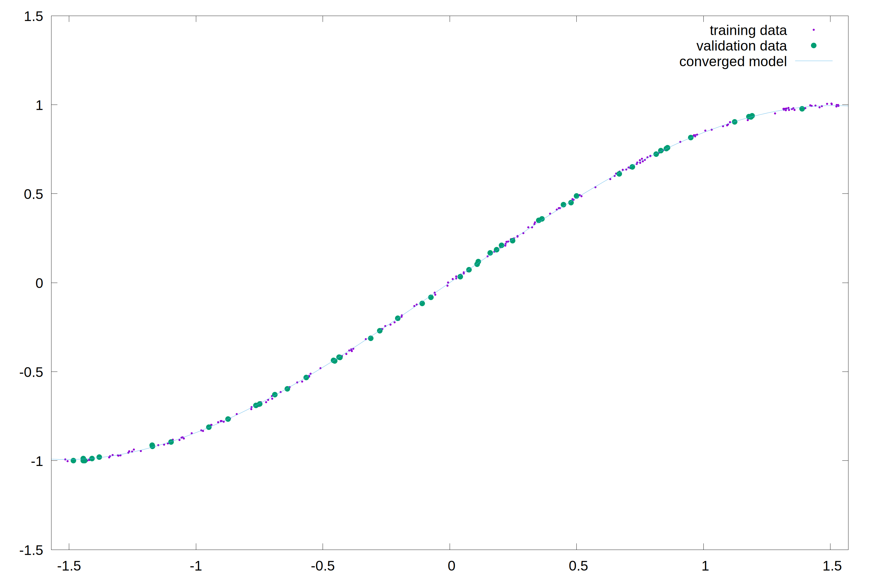
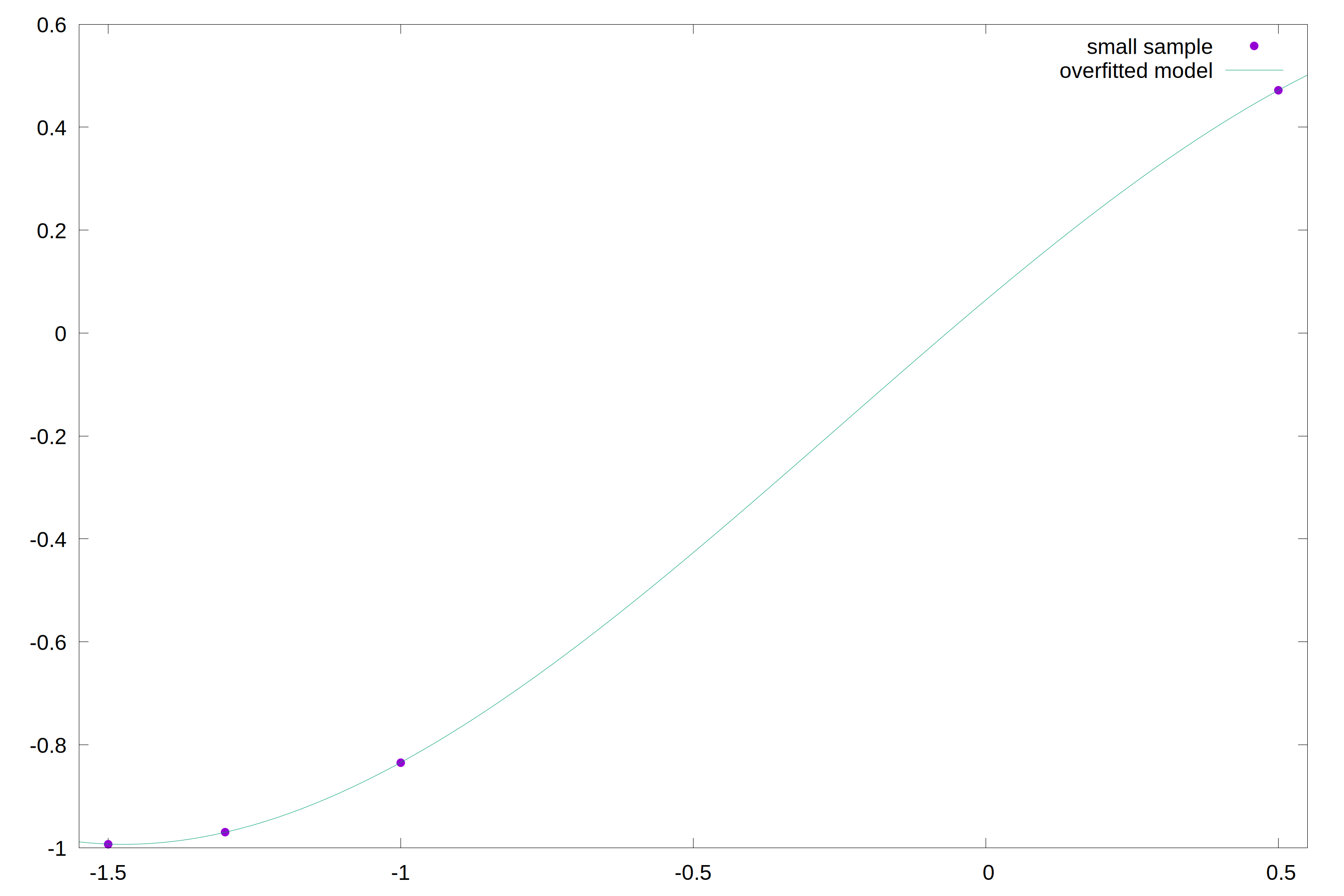
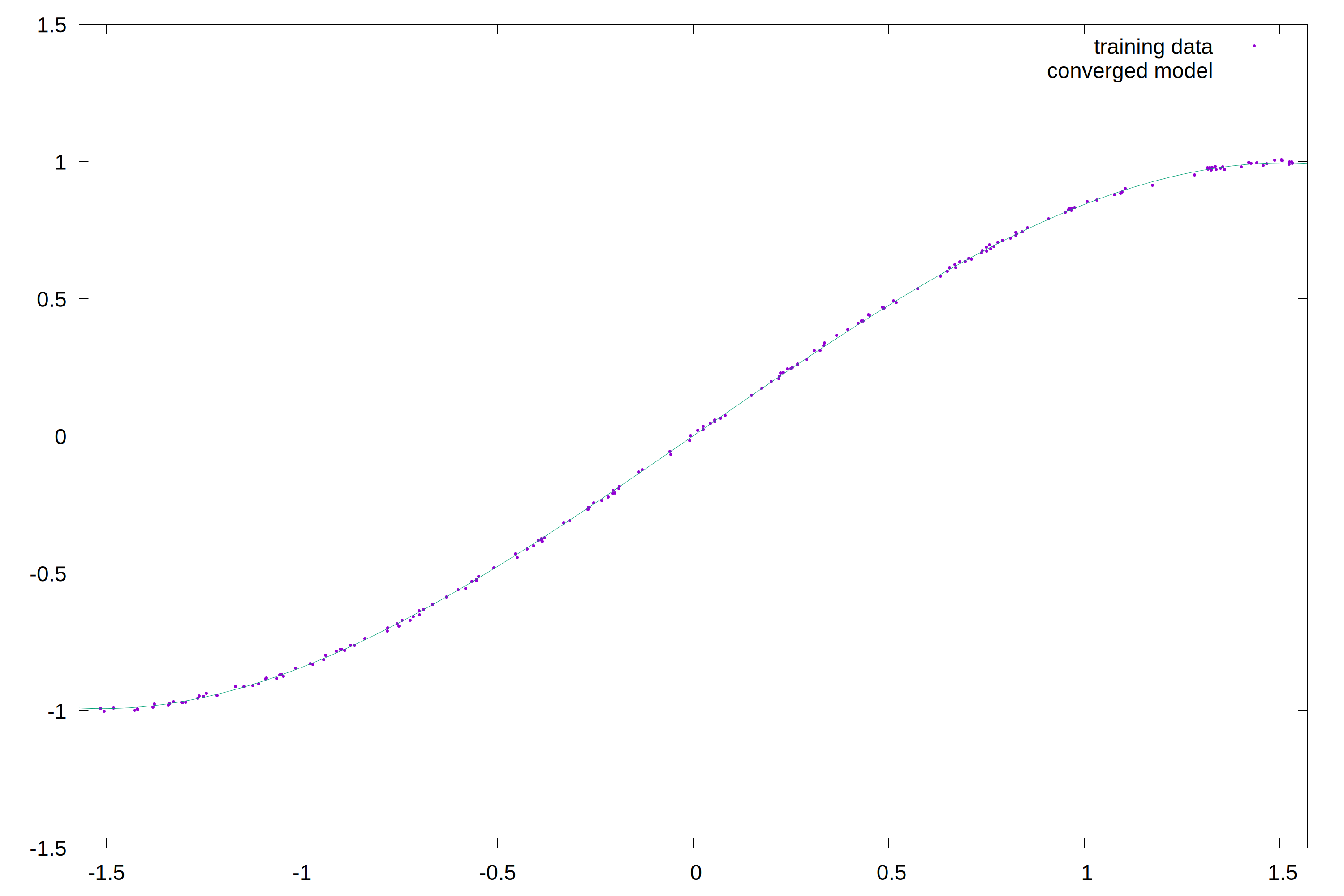
How does ML actually work?

Apr 14, 2026
Arno Haase
Arno Haase

Top Articles About ML & Deep Learning

Enjoying the content?

Get the most out of MLcon by becoming a free community member — curated resources, weekly newsletter, and member-only perks.

Weekly
Articles + tutorials

The reads you'd find if you had time

2× / mo
Live webinars

Experts you can actually ask

Monthly
Magazine + whitepapers

Deep dives worth your weekend

On-demand
Recordings + courses

Past conferences, ready when you are

Behind the Tracks

Generative AI & Agents
Unlock the future of AI with LLM advancements.

MLOps & LLMOps
Bridge the gap between model creation and real-world application.

ML & Deep Learning
From Feature Engineering to Explainable AI.

AI Strategy & Governance
Transform business processes with AI-driven strategies.

AI Developer Tools
Build next-generation machine learning applications.

ML Basics & Principles
Gain a solid foundation in core ML concepts.